二维并苯,即m行边缘融合的[n]阶并苯([n,m]peri-acenes,PAs),是一类具有锯齿边缘结构的二维拓扑分子碳,其展现出独特的磁学、光学和电学性质,已成为有机电子学、自旋电子学、以及合成化学等领域的重要研究方向。然而,阶数增加诱导其出现开壳自由基态和高氧化活性,从而导致高阶二维并苯的稳定性偏差,合成极具挑战性,限制了功能开拓和材料研究。面向这些问题,化学家目前主要采用向锯齿边缘引入空阻结构或缺电子基团、以及共轭并环等设计策略,实现稳定自由基和构筑拓扑结构。

窦传冬课题组专心于有机硼化学和含硼分子碳材料研究,在本工作中,提出炔烃成环实现二维并苯的硼杂/湾化的设计与合成策略,制备了两例含有湾区的硼杂二维并苯,不仅获得一种缺陷型硼杂纳米分子碳,而且证明了硼原子和湾区缺陷调控全局芳香性、稳定HOMO轨道和增大能隙结构的协同电子效应,进而实现了激发态受激辐射行为和放大自发辐射功能(研究论文, CCS Chem. 2025, 7, 256–265; Author Spotlight, CCS Chem. 2025, 7, 6–9; 申请中国发明专利, 2024100918784)。

图1. 二维并苯的硼杂/湾化设计策略

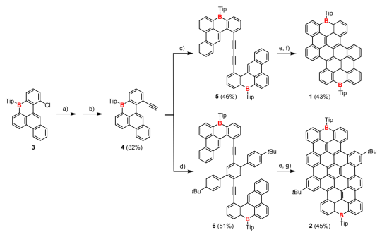
课题组提出了二维并苯的硼杂/湾化设计策略(图1),通过对共轭硼烷实施ICl-介导的炔烃环合反应,成功合成出两例湾化的硼杂二维并苯(boron-doped peri-acenes,BPAs),其结构特征是,硼碳组成的二维骨架(C44B2和C62B2)含有两个湾区缺陷,且两个三配位硼原子镶嵌在锯齿边缘;其合成方法是,基于硼杂单元3和4,先经过炔烃偶联反应合成联炔硼烷5和双炔硼烷6,然后进行ICl介入成环反应和光环化(或氧化环化)反应,从而制备出空气稳定的目标化合物1和2(图2)。

图2. BPAs的化学结构与合成路线

详细研究了掺杂硼原子和引入湾区结构的电子效应。结果表明:1)相对比全碳PAs和未湾化的BPAs,1和2表现出独特的全局芳香性以及可调谐的内部局域芳香性;2)三配位硼原子和湾区缺陷能够协同稳定分子HOMO轨道和降低HOMO能级,从而削弱氧化性和提高稳定性,并且增大能隙结构。

深入研究了BPAs的激发态光物理性质。如图3a所示,1和2分别发出橙色和红色荧光,1的吸收和发光峰位位于556 nm和576 nm,而2的峰位分别红移至596 nm和627 nm,并且光学带隙从2.14 eV减小到1.99 eV,因此证明了纵向拓扑延展的共轭电子效应。进一步,采用飞秒瞬态吸收光谱研究了1和2的激发态动力学(图3b和3c):1和2表现出激发态吸收和基态漂白信号,特别的是,1在628 nm处出现负信号峰,其在稳态吸收光谱中并不存在,而作为弱荧光带出现在荧光光谱,表明1具有独特的激发态受激辐射行为(stimulated emission, SE)。基于此,制备了1的聚苯乙烯(PS)掺杂薄膜,伴随着激发光强度增大超过230 kW cm−2,622 nm处的发光带迅速增强和窄化,半峰宽收窄至6.9 nm(图3d)。这个发光峰位和受激辐射峰位相一致,并且,泵浦光强度与半峰宽的相关性、以及发光峰强度的非线性增加等数据,均表明1具有放大自发辐射特性(amplified spontaneous emission,ASE),因而获得首例ASE功能硼杂二维并苯。

图3. (a)BPAs的吸收和荧光光谱;(b,c)1和2的瞬态吸收光谱;(d)1/PS掺杂薄膜的放大自发发射光谱

综上所述,课题组提出了二维并苯的硼杂/湾化的设计策略,通过实施炔烃环化合成方法,开发出含有湾区缺陷的硼杂二维并苯,不仅阐明了硼原子掺杂和湾区结构的电子效应,而且获得了激发态受激辐射行为和放大自发辐射功能。该工作在元素组成和拓扑结构上开拓出新型杂化分子碳,亦为有机发光功能和增益介质材料研究提供了新思路和新体系。